全国服务热线:

400-1089-880/17727627013

/
/
/
GJB/Z 299C与Telcordia SR-332元器件应力法对比
资讯分类

GJB/Z 299C与Telcordia SR-332元器件应力法对比

  • 分类:实验分享
  • 作者:
  • 来源:
  • 发布时间:2024-11-22 15:32
  • 访问量:

【概要描述】


可靠性预计是估计产品在给定的工作条件下的可靠性而进行的工作,在产品尚无可靠性指标试验数据时,对产品给定工作或非工作条件下的可靠性参数进行估算。在可靠性预计方法中,元器件应力法考虑了设备使用时的应力条件,预计结果更接近实际情况。本文浅析了以GJB/Z 299C-2006为代表的军用标准和以Telcordia SR-332(后简称SR-332)为代表的商用标准中的元器件应力法。





 












 







 






可靠性预计标准概览





根据调研,列出了部分的可靠性预计标准,按类别可大致分为军用标准和商用标准,分别如表1、2所示。

表1 可靠性预计军用标准







军用标准对元器件分类以及各类别下的失效率预计模型和数据的介绍十分详细。

表2 可靠性预计商用标准







商用标准从便捷性的角度出发:在SR-332有关可靠性模型的描述中,主要针对基于基本可靠性模型的串联模型进行了介绍,对复杂系统的任务可靠性模型介绍较少。

本文以军用标准GJB/Z 299C-2006和商用标准Telcordia SR-332 Issue4 2016为代表进行分析。为了方便下文介绍,后文以基本可靠性模型为例。






 







 






元器件计数法和应力法的对比





GJB/Z 299C和SR-332预计标准均主要针对元器件应力法进行介绍。

元器件计数法一般用于产品研制阶段的早期,此时已进行了初步的设计,形成了产品的功能原理框图或草图,对产品所需的元器件种类和数量均有了一定的了解,但缺少产品的应力数据。此时应用元器件计数法,可对产品的基本可靠性有一个大概的预估。在GJB/Z 299C-2006中,简单介绍了元器件计数法的模型,见下式:







式中:

λGS——总失效率,10-6/h;

Ni——第i种元器件的数量;

λGi——第i种元器件的通用失效率,10-6/h;

πQi——第i种元器件的通用质量系数;

n——设备所用元器件的种类数目。

由计数法计算模型可知,该方法仅考虑该电子设备所使用的所有元器件的通用失效率和通用质量系数,不涉及任何电子设备使用时所处的应力状态。

一般在产品研制的中后期,此时已具备详细的电路图纸,元器件清单及每个元器件所承受的应力等级数据,此时应用元器件应力法,将产品所受到的电应力、温度应力等因素考虑进预计模型,就更能够接近产品实际使用时的真实状况。在SR-332中,从元器件级、单元级到系统级,逐步计算出设备的总失效率:

1)当没有实验室数据或现场数据时,综合考虑质量、电应力和温度应力情况,进行元器件级的失效率计算:







式中:

λSSi——第i种元器件应力法下的稳态失效率;

σSSi——第i种元器件应力法下的失效率标准差;

λGi——第i种元器件的平均通用稳态失效率;

σGi——第i种元器件的通用稳态失效率标准差;

πQi——第i种元器件的质量系数;

πSi——第i种元器件的电应力系数;

πTi——第i种元器件的温度应力系数。

2)对每个单元下的所有元器件失效率进行加合,进行单元级失效率计算:







式中:

λPC——第j个单元的稳态失效率(平均值估计);

σPC——第j个单元的失效率标准差;

Ni——第i种元器件的数量;

πE——环境应力系数。

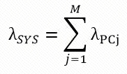
3)综合每个单元级的失效率,进行系统级失效率计算:











式中:

λSYS——系统级稳态失效率(平均值估计);

σSYS——系统级失效率标准差(平均值估计);

M——系统中的单元数。






 







 






GJB/Z 299C和SR-332元器件应力法的对比





目前可以接触到的GJB/Z 299C和SR-332标准分别发布于2006年和2016年。

①可靠性模型选用的侧重点不同

在GJB/Z 299C的应力法介绍中,主要侧重于各类元器件的应力法模型,即如何得出在一定的环境应力条件下的元器件工作失效率,并没有规定可靠性建模的类别。体现了军用标准的严谨性。

在SR-332的应力法介绍中,主要介绍的是基本可靠性的串联模型,即系统总失效率是各单元失效率的总合,对于非串联模型的复杂系统的介绍较少。基于串联模型进行预计比较适合开发商业软件和推广,体现了商用标准的便捷性。

②元器件的分类类别不同

GJB/Z 299C中,将元器件分为了22大类,大类之下又有很多小类,各类别之下均给出了失效率模型或失效率数据;SR-332中,仅分为了13类,多数能够通过查表直接得到元器件的失效率数值。

③除失效率预计外,SR-332还重点关注了早期失效率

电子产品失效率随使用时间变化的规律基本服从浴盆曲线,如下图所示。







图1 SR-332浴盆曲线

SR-332根据浴盆曲线将电子产品的失效率分为三个阶段:早期寿命阶段、稳态阶段和耗损阶段。应力法主要针对的是稳态阶段的可靠性。在SR-332中,还重点提出了早期寿命因子(Early Life Factor)的概念,用来衡量早期寿命阶段失效率与稳态失效率的比值:

当πTπS≤1.14时,

 







否则







式中:

πEL——早期寿命因子,即早期寿命阶段失效率和稳态失效率的比值;

πT——温度应力系数;

πS——电应力系数。

④SR-332提出使用置信上限衡量单元级的工作失效率

SR-332中,着重强调了,失效率是统计学概念,不论是查表还是计算得到的失效率为平均失效率,必然存在对应的失效率标准差,标准差衡量了平均失效率的准确性,对预计结果有重要的参考作用。

SR-332提出,在计算系统级的失效率时,用平均失效率作为总失效率预计的依据因为没有考虑到不确定度和失效率在均值附近的波动,所有会忽略了失效率的统计性质。

在多数的可靠性预计工作中,失效率预计的结果往往偏低,为了使预计结果更保守,可以采取对失效率适度膨胀的方式——将单元级失效率标准差考虑在内,使用取失效率统计分布的置信水平上限作为求取总失效率的依据。置信水平取的越高,则失效率越高,预计的结果越保守。

下面对置信上限法进行介绍:

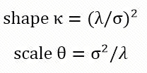
现已知平均失效率λ和失效率标准差σ,假设失效率数据符合gamma分布,那么次gamma分布的形状参数和尺度参数:







基于形状参数和尺度参数即可构造gamma分布概率密度函数。

取P%的置信上限对应的失效率值为最终的单元级失效率,即求P%置信水平下的反gamma分布值:







当尺度参数较大时(例如κ大于100时),也可以用反正态分布计算置信上限失效率:







算例介绍:现有4个单元级产品,仅由1种电阻组成,电阻个数分别为1、2、5、12,单个电阻的通用失效率、标准差、使用时的温度应力系数、电应力系数等如图2所示。







图2 单个电阻的失效率值和应力参数值

第一步:基于应力参数计算平均失效率和平均标准差:







第二步:计算gamma分布的尺度参数和形状参数:







第三步:计算90%置信水平下的反gamma分布对应的失效率:







观察4个系统置信上限失效率的结果,可以发现,相对于平均失效率均有一定程度上的膨胀,相对于平均失效率更为保守了。






 







 






小结





本文简要调研了目前可以接触到的可靠性预计标准,对以GJB/Z 299C为代表的军用标准和以SR-332为代表的商用标准中的元器件应力法进行了对比。

对比结果表明,GJB/Z 299C作为军用标准,对元器件的分类和失效率模型的介绍更为严谨;SR-332作为权威性的商用标准,其可靠性模型选择、元器件分类和通用失效率的选择相对于军用标准更简洁,同时提出融合平均失效率及其标准差,使用置信上限失效率的保守预计法,使预计结果更保守。



GJB/Z 299C与Telcordia SR-332元器件应力法对比

【概要描述】


可靠性预计是估计产品在给定的工作条件下的可靠性而进行的工作,在产品尚无可靠性指标试验数据时,对产品给定工作或非工作条件下的可靠性参数进行估算。在可靠性预计方法中,元器件应力法考虑了设备使用时的应力条件,预计结果更接近实际情况。本文浅析了以GJB/Z 299C-2006为代表的军用标准和以Telcordia SR-332(后简称SR-332)为代表的商用标准中的元器件应力法。





 












 







 






可靠性预计标准概览





根据调研,列出了部分的可靠性预计标准,按类别可大致分为军用标准和商用标准,分别如表1、2所示。

表1 可靠性预计军用标准







军用标准对元器件分类以及各类别下的失效率预计模型和数据的介绍十分详细。

表2 可靠性预计商用标准







商用标准从便捷性的角度出发:在SR-332有关可靠性模型的描述中,主要针对基于基本可靠性模型的串联模型进行了介绍,对复杂系统的任务可靠性模型介绍较少。

本文以军用标准GJB/Z 299C-2006和商用标准Telcordia SR-332 Issue4 2016为代表进行分析。为了方便下文介绍,后文以基本可靠性模型为例。






 







 






元器件计数法和应力法的对比





GJB/Z 299C和SR-332预计标准均主要针对元器件应力法进行介绍。

元器件计数法一般用于产品研制阶段的早期,此时已进行了初步的设计,形成了产品的功能原理框图或草图,对产品所需的元器件种类和数量均有了一定的了解,但缺少产品的应力数据。此时应用元器件计数法,可对产品的基本可靠性有一个大概的预估。在GJB/Z 299C-2006中,简单介绍了元器件计数法的模型,见下式:







式中:

λGS——总失效率,10-6/h;

Ni——第i种元器件的数量;

λGi——第i种元器件的通用失效率,10-6/h;

πQi——第i种元器件的通用质量系数;

n——设备所用元器件的种类数目。

由计数法计算模型可知,该方法仅考虑该电子设备所使用的所有元器件的通用失效率和通用质量系数,不涉及任何电子设备使用时所处的应力状态。

一般在产品研制的中后期,此时已具备详细的电路图纸,元器件清单及每个元器件所承受的应力等级数据,此时应用元器件应力法,将产品所受到的电应力、温度应力等因素考虑进预计模型,就更能够接近产品实际使用时的真实状况。在SR-332中,从元器件级、单元级到系统级,逐步计算出设备的总失效率:

1)当没有实验室数据或现场数据时,综合考虑质量、电应力和温度应力情况,进行元器件级的失效率计算:







式中:

λSSi——第i种元器件应力法下的稳态失效率;

σSSi——第i种元器件应力法下的失效率标准差;

λGi——第i种元器件的平均通用稳态失效率;

σGi——第i种元器件的通用稳态失效率标准差;

πQi——第i种元器件的质量系数;

πSi——第i种元器件的电应力系数;

πTi——第i种元器件的温度应力系数。

2)对每个单元下的所有元器件失效率进行加合,进行单元级失效率计算:







式中:

λPC——第j个单元的稳态失效率(平均值估计);

σPC——第j个单元的失效率标准差;

Ni——第i种元器件的数量;

πE——环境应力系数。

3)综合每个单元级的失效率,进行系统级失效率计算:











式中:

λSYS——系统级稳态失效率(平均值估计);

σSYS——系统级失效率标准差(平均值估计);

M——系统中的单元数。






 







 






GJB/Z 299C和SR-332元器件应力法的对比





目前可以接触到的GJB/Z 299C和SR-332标准分别发布于2006年和2016年。

①可靠性模型选用的侧重点不同

在GJB/Z 299C的应力法介绍中,主要侧重于各类元器件的应力法模型,即如何得出在一定的环境应力条件下的元器件工作失效率,并没有规定可靠性建模的类别。体现了军用标准的严谨性。

在SR-332的应力法介绍中,主要介绍的是基本可靠性的串联模型,即系统总失效率是各单元失效率的总合,对于非串联模型的复杂系统的介绍较少。基于串联模型进行预计比较适合开发商业软件和推广,体现了商用标准的便捷性。

②元器件的分类类别不同

GJB/Z 299C中,将元器件分为了22大类,大类之下又有很多小类,各类别之下均给出了失效率模型或失效率数据;SR-332中,仅分为了13类,多数能够通过查表直接得到元器件的失效率数值。

③除失效率预计外,SR-332还重点关注了早期失效率

电子产品失效率随使用时间变化的规律基本服从浴盆曲线,如下图所示。







图1 SR-332浴盆曲线

SR-332根据浴盆曲线将电子产品的失效率分为三个阶段:早期寿命阶段、稳态阶段和耗损阶段。应力法主要针对的是稳态阶段的可靠性。在SR-332中,还重点提出了早期寿命因子(Early Life Factor)的概念,用来衡量早期寿命阶段失效率与稳态失效率的比值:

当πTπS≤1.14时,

 







否则







式中:

πEL——早期寿命因子,即早期寿命阶段失效率和稳态失效率的比值;

πT——温度应力系数;

πS——电应力系数。

④SR-332提出使用置信上限衡量单元级的工作失效率

SR-332中,着重强调了,失效率是统计学概念,不论是查表还是计算得到的失效率为平均失效率,必然存在对应的失效率标准差,标准差衡量了平均失效率的准确性,对预计结果有重要的参考作用。

SR-332提出,在计算系统级的失效率时,用平均失效率作为总失效率预计的依据因为没有考虑到不确定度和失效率在均值附近的波动,所有会忽略了失效率的统计性质。

在多数的可靠性预计工作中,失效率预计的结果往往偏低,为了使预计结果更保守,可以采取对失效率适度膨胀的方式——将单元级失效率标准差考虑在内,使用取失效率统计分布的置信水平上限作为求取总失效率的依据。置信水平取的越高,则失效率越高,预计的结果越保守。

下面对置信上限法进行介绍:

现已知平均失效率λ和失效率标准差σ,假设失效率数据符合gamma分布,那么次gamma分布的形状参数和尺度参数:







基于形状参数和尺度参数即可构造gamma分布概率密度函数。

取P%的置信上限对应的失效率值为最终的单元级失效率,即求P%置信水平下的反gamma分布值:







当尺度参数较大时(例如κ大于100时),也可以用反正态分布计算置信上限失效率:







算例介绍:现有4个单元级产品,仅由1种电阻组成,电阻个数分别为1、2、5、12,单个电阻的通用失效率、标准差、使用时的温度应力系数、电应力系数等如图2所示。







图2 单个电阻的失效率值和应力参数值

第一步:基于应力参数计算平均失效率和平均标准差:







第二步:计算gamma分布的尺度参数和形状参数:







第三步:计算90%置信水平下的反gamma分布对应的失效率:







观察4个系统置信上限失效率的结果,可以发现,相对于平均失效率均有一定程度上的膨胀,相对于平均失效率更为保守了。






 







 






小结





本文简要调研了目前可以接触到的可靠性预计标准,对以GJB/Z 299C为代表的军用标准和以SR-332为代表的商用标准中的元器件应力法进行了对比。

对比结果表明,GJB/Z 299C作为军用标准,对元器件的分类和失效率模型的介绍更为严谨;SR-332作为权威性的商用标准,其可靠性模型选择、元器件分类和通用失效率的选择相对于军用标准更简洁,同时提出融合平均失效率及其标准差,使用置信上限失效率的保守预计法,使预计结果更保守。



  • 分类:实验分享
  • 作者:
  • 来源:
  • 发布时间:2024-11-22 15:32
  • 访问量:
详情

可靠性预计是估计产品在给定的工作条件下的可靠性而进行的工作,在产品尚无可靠性指标试验数据时,对产品给定工作或非工作条件下的可靠性参数进行估算。在可靠性预计方法中,元器件应力法考虑了设备使用时的应力条件,预计结果更接近实际情况。本文浅析了以GJB/Z 299C-2006为代表的军用标准和以Telcordia SR-332(后简称SR-332)为代表的商用标准中的元器件应力法。

 
 
 

可靠性预计标准概览

根据调研,列出了部分的可靠性预计标准,按类别可大致分为军用标准和商用标准,分别如表1、2所示。

表1 可靠性预计军用标准

图片

军用标准对元器件分类以及各类别下的失效率预计模型和数据的介绍十分详细。

表2 可靠性预计商用标准

图片

商用标准从便捷性的角度出发:在SR-332有关可靠性模型的描述中,主要针对基于基本可靠性模型的串联模型进行了介绍,对复杂系统的任务可靠性模型介绍较少。

本文以军用标准GJB/Z 299C-2006和商用标准Telcordia SR-332 Issue4 2016为代表进行分析。为了方便下文介绍,后文以基本可靠性模型为例。

 
 

元器件计数法和应力法的对比

GJB/Z 299C和SR-332预计标准均主要针对元器件应力法进行介绍。

元器件计数法一般用于产品研制阶段的早期,此时已进行了初步的设计,形成了产品的功能原理框图或草图,对产品所需的元器件种类和数量均有了一定的了解,但缺少产品的应力数据。此时应用元器件计数法,可对产品的基本可靠性有一个大概的预估。在GJB/Z 299C-2006中,简单介绍了元器件计数法的模型,见下式:

图片

式中:

λGS——总失效率,10-6/h;

Ni——第i种元器件的数量;

λGi——第i种元器件的通用失效率,10-6/h;

πQi——第i种元器件的通用质量系数;

n——设备所用元器件的种类数目。

由计数法计算模型可知,该方法仅考虑该电子设备所使用的所有元器件的通用失效率和通用质量系数,不涉及任何电子设备使用时所处的应力状态。

一般在产品研制的中后期,此时已具备详细的电路图纸,元器件清单及每个元器件所承受的应力等级数据,此时应用元器件应力法,将产品所受到的电应力、温度应力等因素考虑进预计模型,就更能够接近产品实际使用时的真实状况。在SR-332中,从元器件级、单元级到系统级,逐步计算出设备的总失效率:

1)当没有实验室数据或现场数据时,综合考虑质量、电应力和温度应力情况,进行元器件级的失效率计算:

图片

式中:

λSSi——第i种元器件应力法下的稳态失效率;

σSSi——第i种元器件应力法下的失效率标准差;

λGi——第i种元器件的平均通用稳态失效率;

σGi——第i种元器件的通用稳态失效率标准差;

πQi——第i种元器件的质量系数;

πSi——第i种元器件的电应力系数;

πTi——第i种元器件的温度应力系数。

2)对每个单元下的所有元器件失效率进行加合,进行单元级失效率计算:

图片

式中:

λPC——第j个单元的稳态失效率(平均值估计);

σPC——第j个单元的失效率标准差;

Ni——第i种元器件的数量;

πE——环境应力系数。

3)综合每个单元级的失效率,进行系统级失效率计算:

图片
图片

式中:

λSYS——系统级稳态失效率(平均值估计);

σSYS——系统级失效率标准差(平均值估计);

M——系统中的单元数。

 
 

GJB/Z 299C和SR-332元器件应力法的对比

目前可以接触到的GJB/Z 299C和SR-332标准分别发布于2006年和2016年。

①可靠性模型选用的侧重点不同

在GJB/Z 299C的应力法介绍中,主要侧重于各类元器件的应力法模型,即如何得出在一定的环境应力条件下的元器件工作失效率,并没有规定可靠性建模的类别。体现了军用标准的严谨性。

在SR-332的应力法介绍中,主要介绍的是基本可靠性的串联模型,即系统总失效率是各单元失效率的总合,对于非串联模型的复杂系统的介绍较少。基于串联模型进行预计比较适合开发商业软件和推广,体现了商用标准的便捷性。

②元器件的分类类别不同

GJB/Z 299C中,将元器件分为了22大类,大类之下又有很多小类,各类别之下均给出了失效率模型或失效率数据;SR-332中,仅分为了13类,多数能够通过查表直接得到元器件的失效率数值。

③除失效率预计外,SR-332还重点关注了早期失效率

电子产品失效率随使用时间变化的规律基本服从浴盆曲线,如下图所示。

图片

图1 SR-332浴盆曲线

SR-332根据浴盆曲线将电子产品的失效率分为三个阶段:早期寿命阶段、稳态阶段和耗损阶段。应力法主要针对的是稳态阶段的可靠性。在SR-332中,还重点提出了早期寿命因子(Early Life Factor)的概念,用来衡量早期寿命阶段失效率与稳态失效率的比值:

当πTπS≤1.14时,

 

图片

否则

图片

式中:

πEL——早期寿命因子,即早期寿命阶段失效率和稳态失效率的比值;

πT——温度应力系数;

πS——电应力系数。

④SR-332提出使用置信上限衡量单元级的工作失效率

SR-332中,着重强调了,失效率是统计学概念,不论是查表还是计算得到的失效率为平均失效率,必然存在对应的失效率标准差,标准差衡量了平均失效率的准确性,对预计结果有重要的参考作用。

SR-332提出,在计算系统级的失效率时,用平均失效率作为总失效率预计的依据因为没有考虑到不确定度和失效率在均值附近的波动,所有会忽略了失效率的统计性质。

在多数的可靠性预计工作中,失效率预计的结果往往偏低,为了使预计结果更保守,可以采取对失效率适度膨胀的方式——将单元级失效率标准差考虑在内,使用取失效率统计分布的置信水平上限作为求取总失效率的依据。置信水平取的越高,则失效率越高,预计的结果越保守。

下面对置信上限法进行介绍:

现已知平均失效率λ和失效率标准差σ,假设失效率数据符合gamma分布,那么次gamma分布的形状参数和尺度参数:

图片

基于形状参数和尺度参数即可构造gamma分布概率密度函数。

取P%的置信上限对应的失效率值为最终的单元级失效率,即求P%置信水平下的反gamma分布值:

图片

当尺度参数较大时(例如κ大于100时),也可以用反正态分布计算置信上限失效率:

图片

算例介绍:现有4个单元级产品,仅由1种电阻组成,电阻个数分别为1、2、5、12,单个电阻的通用失效率、标准差、使用时的温度应力系数、电应力系数等如图2所示。

图片

图2 单个电阻的失效率值和应力参数值

第一步:基于应力参数计算平均失效率和平均标准差:

图片

第二步:计算gamma分布的尺度参数和形状参数:

图片

第三步:计算90%置信水平下的反gamma分布对应的失效率:

图片

观察4个系统置信上限失效率的结果,可以发现,相对于平均失效率均有一定程度上的膨胀,相对于平均失效率更为保守了。

 
 

小结

本文简要调研了目前可以接触到的可靠性预计标准,对以GJB/Z 299C为代表的军用标准和以SR-332为代表的商用标准中的元器件应力法进行了对比。

对比结果表明,GJB/Z 299C作为军用标准,对元器件的分类和失效率模型的介绍更为严谨;SR-332作为权威性的商用标准,其可靠性模型选择、元器件分类和通用失效率的选择相对于军用标准更简洁,同时提出融合平均失效率及其标准差,使用置信上限失效率的保守预计法,使预计结果更保守。

扫二维码用手机看

服务热线

400 1089 880

网址:www.svtest.cn
邮箱:kj-sv@svtest.cn
传真:020-31707367
总部:广州开发区科学城玉树创新园J栋、G栋

公众号

关注公众号

这是描述信息

微信客服

版权所有 © 2024-2025  All Rights Reserved  广东科鉴检测工程技术有限公司 KEJIAN TESTING   粤ICP备2021012026号 粤ICP备2021012026号-2 粤ICP备2021012026号-3 粤ICP备2021012026号-4 粤ICP备2021012026号-5 技术支持:中科赛思